kedroplast-suvenir.ru
kedroplast-suvenir.ru
Найти
Kedroplast-suvenir リップル
»
international 中文
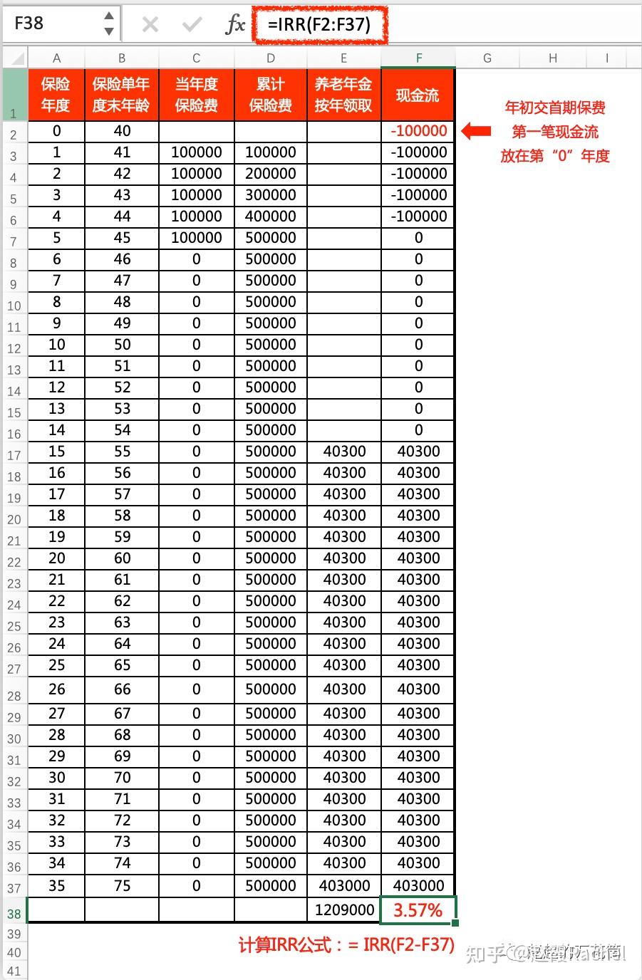
» Internal rate of return 是 什么 (98) 사진
Internal rate of return 是 什么 (98) 사진
0
1
2
3
4
5
16 февраль
0
1
international 中文
Похожие статьи
Internal rate of return 意思 (92) 사진
Internal rate of return 公式 (96) 사진
Internal rate of return formula (97) 사진
Irr 意思 (94) 사진
Irr formula 中文 (96) 사진